返回旧站

经济学院2025年下半年入党积极分子培训学员公示

2025-09-26    作者:     审稿: jjxy    点击量:

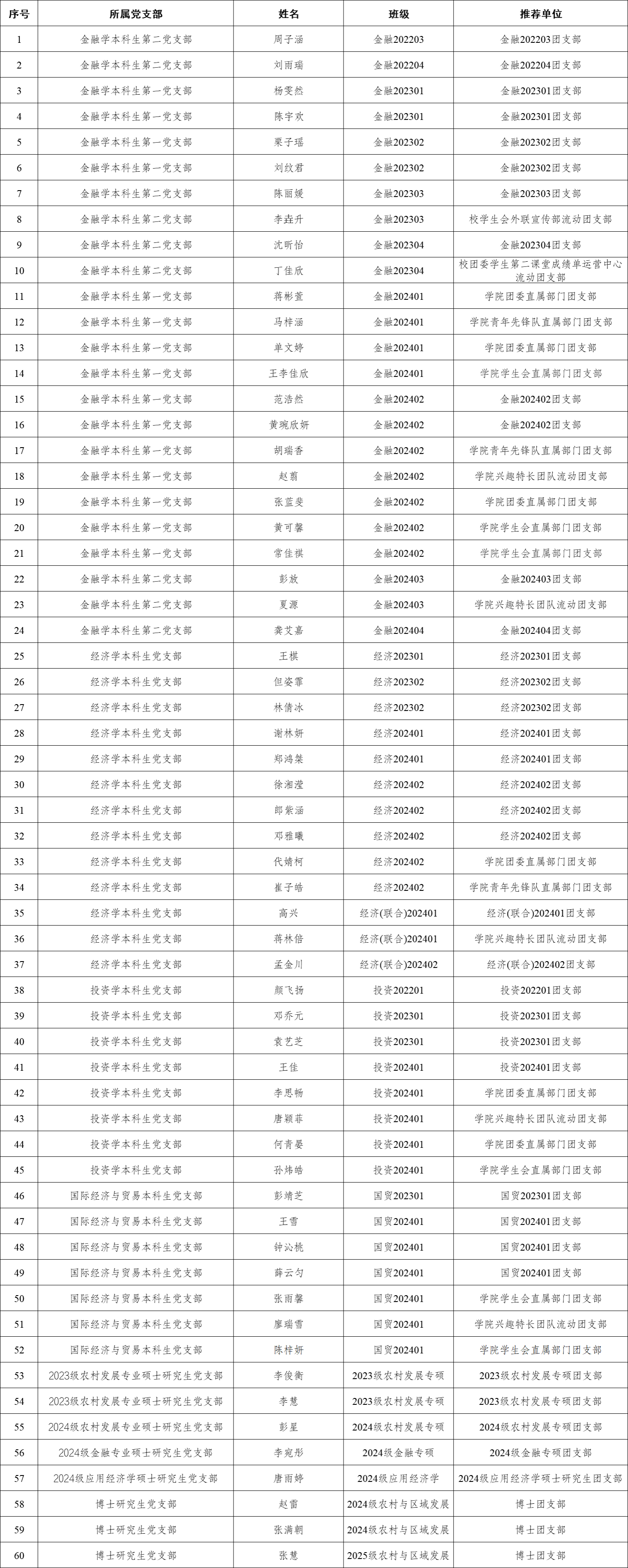
        经党支部提名、学院党委办审核,现将我院拟推2025年下半年入党积极分子培训班学员名单公示如下。

公示期2025年9月26日—28日,若有问题和异议,请实名向学院党委办公室反映。

学院党委办公室地址:成都校区7教605。

联系电话:028-86291770


       经济学院党委办公室


2025年9月26日


Copyright © 2015 四川农业大学 经济学院 版权所有